Svelare i segreti della stabilità degli ADC: un approccio innovativo con Aunty
Gli anticorpi coniugati (ADC) rappresentano una classe rivoluzionaria di farmaci antitumorali, progettati per combinare la specificità di un anticorpo monoclonale (mAb) con la potenza citotossica di una piccola molecola farmacologica. Questa strategia mirata consente di veicolare il farmaco direttamente alle cellule tumorali, minimizzando gli effetti collaterali sui tessuti sani.
Gli anticorpi coniugati (ADC) rappresentano una classe rivoluzionaria di farmaci antitumorali, progettati per combinare la specificità di un anticorpo monoclonale (mAb) con la potenza citotossica di una piccola molecola farmacologica. Questa strategia mirata consente di veicolare il farmaco direttamente alle cellule tumorali, minimizzando gli effetti collaterali sui tessuti sani. Tuttavia, la coniugazione di una molecola idrofobica (il farmaco) a un anticorpo idrofilo introduce intrinseche sfide di stabilità che non si riscontrano negli anticorpi monoclonali “stand-alone”. L’aggiunta di interazioni idrofobiche può rendere l’ADC più suscettibile al dispiegamento (unfolding) e all’aggregazione, processi che compromettono l’efficacia terapeutica, la sicurezza e la producibilità del farmaco.
La ricerca e lo sviluppo di nuove formulazioni per gli ADC richiedono metodi di screening robusti ed efficienti per identificare gli eccipienti (sostanze inattive aggiunte al farmaco per stabilizzarlo o migliorarne la somministrazione) che possono mitigare queste instabilità. I metodi tradizionali per la caratterizzazione della stabilità spesso presentano limitazioni significative: richiedono grandi quantità di campione, sono dispendiosi in termini di tempo e sono difficili da automatizzare. Inoltre, molti di questi saggi sono monoparametrici e riduttivi, fornendo un solo tipo di dato per esperimento, il che obbliga i ricercatori a eseguire molteplici test per ottenere un quadro completo della stabilità di una formulazione. Questa frammentazione dei dati e l’inefficienza dei processi rallentano notevolmente lo sviluppo di nuovi ADC e l’ottimizzazione delle loro formulazioni.
In questo contesto, Unchained Labs presenta Aunty, una piattaforma all’avanguardia progettata per superare le limitazioni dei metodi tradizionali. Aunty è l’unica piattaforma basata su piastra, flessibile e compatibile con l’automazione, specificamente progettata per la caratterizzazione della stabilità termica. Consente di interrogare simultaneamente la stabilità conformazionale (legata alla struttura tridimensionale della proteina) e colloidale (legata alla tendenza delle molecole a rimanere in soluzione senza aggregare) di un massimo di 96 formulazioni.

Figura 1: Aunty, la piattaforma di Unchained Labs per la caratterizzazione della stabilità termica.
Aunty integra tre tecniche analitiche fondamentali:
- Static Light Scattering (SLS): Misura l’intensità della luce diffusa dalle particelle in soluzione, fornendo informazioni sull’aggregazione e sulla dimensione delle particelle.
- Dynamic Light Scattering (DLS): Misura la velocità di diffusione delle particelle in soluzione, permettendo di determinare il coefficiente di diffusione e la dimensione idrodinamica (z-average diameter) delle molecole o degli aggregati.
- Fluorescenza a Spettro Completo: Monitora i cambiamenti nella fluorescenza intrinseca delle proteine (dovuta ai residui di triptofano e tirosina) o la fluorescenza di coloranti reporter (come SYPRO Orange) che si legano alle regioni idrofobiche esposte durante il dispiegamento. Questa tecnica è cruciale per determinare le temperature di fusione (Tm)
Una delle caratteristiche più rilevanti di Aunty è la sua efficienza nell’uso del campione. La piastra Aunty, unica nel suo genere e realizzata in quarzo, richiede solo 8 μL di campione per pozzetto. Questo minimizza il consumo di preziosi materiali biologici, massimizzando al contempo il throughput e la produzione di dati. La capacità di Aunty di variare la temperatura da 15 °C a 95 °C con velocità di rampa da 0.1 °C/minuto a 10 °C/minuto, o di mantenere una temperatura costante per giorni, offre una flessibilità sperimentale senza precedenti.
Inoltre, la compatibilità di Aunty con le piastre in formato SBS e la disponibilità di un’API (Application Programming Interface) per il controllo sperimentale e l’operatività, rendono l’intero processo pronto per l’automazione. Questa integrazione con i sistemi robotici esistenti è fondamentale per i laboratori che mirano ad aumentare l’efficienza e la riproducibilità degli screening di formulazione su larga scala. Indipendentemente dalla complessità degli ADC o delle formulazioni, Aunty è progettata per generare risultati affidabili e utilizzabili con una flessibilità ineguagliabile.
Nella nota applicativa che vi proponiamo, si dimostra come la fluorescenza a spettro completo, SLS, DLS e il controllo della temperatura di Aunty lavorino in sinergia per determinare i parametri chiave di stabilità conformazionale e colloidale durante uno screening di eccipienti per formulazioni di ADC e mAb.
Metodologia Sperimentale
Per dimostrare le capacità di Aunty, sono stati utilizzati quattro campioni proteici: Herceptin, Kanjinti, Kadcyla e Enhertu (Evidentic GmbH, Potsdam, Germania). Herceptin e Kanjinti sono rispettivamente un anticorpo monoclonale (trastuzumab) e un suo biosimilare, mentre Kadcyla e Enhertu sono entrambi ADC basati su trastuzumab.
I campioni sono stati scambiati in un tampone di istidina 10 mM, pH 6, utilizzando i parametri predefiniti di Big Tuna per soluzioni proteiche da 0.5−50 mg/mL. Le concentrazioni proteiche iniziali e finali, la dimensione e il PDI (Polydispersity Index) sono stati verificati in quadruplice copia su Stunner con campioni in bianco. Successivamente, tutte e quattro le proteine sono state diluite a 10 mg/mL e sono state aggiunte alle formulazioni 80 mg/mL di saccarosio o 0.9% di NaCl.
Sono state preparate serie di diluizione dei quattro campioni proteici in due formulazioni (1, 2, 4, 8 e 10 mg/mL). 8 μL di ciascuna diluizione sono stati caricati in triplicato nelle piastre Aunty. L’applicazione “colloidal stability” è stata utilizzata con campioni in bianco per determinare B22 e kD a 25 °C, impiegando acquisizioni DLS di 5×4 secondi e auto-attenuazione. Gli stessi campioni sono stati quindi riscaldati da 25 °C a 95 °C a una velocità di 1 °C/minuto con l’applicazione “Tm & Tagg with sizing” di Aunty, utilizzando impostazioni di eccitazione in fluorescenza automatiche. Aunty Analysis è stato utilizzato per determinare la Tm dal cambiamento della media baricentrica (BCM) della fluorescenza intrinseca della proteina nell’intervallo 310-370 nm. La Tagg è stata determinata dall’aumento dell’intensità SLS e la Tsize dall’aumento del diametro z-average.
In un’altra fase dell’esperimento, gli anticorpi e gli ADC sono stati diluiti a 2 mg/mL nelle due formulazioni con 5X SYPRO Orange e caricati in triplicato nelle piastre Aunty. Kadcyla è stato preparato anche con 1X e 10X SYPRO Orange. Tutti i campioni sono stati riscaldati da 25 °C a 95 °C a una velocità di 1°C/min con l’applicazione “Tm & Tagg with reporter dye” di Aunty, utilizzando impostazioni automatiche. Aunty Analysis è stato utilizzato per determinare la Tm dall’aumento della fluorescenza di SYPRO Orange (area sotto lo spettro di emissione da 525-640 nm) e la Tagg dall’aumento dell’intensità SLS.
Risultati: Stabilità Colloidale e Termica
Stabilità Colloidale: kD e B22
La propensione all’aggregazione è un attributo chiave in qualsiasi studio di formulazione, e il parametro di interazione di diffusione (kD) è un metodo efficace per identificare campioni con profili di sviluppo scarsi. L’applicazione “colloidal stability” di Aunty utilizza DLS per determinare i coefficienti di diffusione di una serie di diluizioni di ADC o proteine e quindi calcola il kD dalla regressione lineare. Valori negativi di kD indicano interazioni attrattive tra gli analiti e un’alta propensione all’aggregazione, mentre valori positivi indicano auto-interazioni repulsive e una bassa propensione all’aggregazione.
Tutte e quattro le molecole hanno mostrato una pendenza positiva dei loro coefficienti di diffusione con l’aumento della concentrazione quando formulate in istidina 10 mM, pH 6, con 80 mg/mL di saccarosio (Figura 2A). Una diffusione più rapida a concentrazioni più elevate indica forze intermolecolari repulsive e, di conseguenza, una minore propensione all’aggregazione. Al contrario, quando formulate nello stesso tampone ma con 0.9% di NaCl, tutte e quattro le molecole hanno mostrato pendenze negative, indicando segni di interazioni attrattive (Figura 2B). In particolare, Kadcyla ed Enhertu, entrambi ADC basati su trastuzumab, hanno mostrato interazioni attrattive più forti quando formulati con NaCl rispetto a Herceptin o Kanjinti.

Figura 2: Coefficiente di diffusione medio in triplicato in funzione della concentrazione di Herceptin, Kanjinti, Kadcyla ed Enhertu in istidina 10 mM, pH 6, con 80 mg/mL di saccarosio (A) o 0.9% di NaCl (B).
Analogamente a kD, valori positivi del secondo coefficiente viriale (B22) indicano forze intermolecolari repulsive, mentre valori negativi di B22 indicano auto-interazioni attrattive. Sebbene le loro interpretazioni siano simili, B22 si basa su SLS, non su DLS. Aunty misura sia kD che B22 in una singola applicazione, fornendo una visione completa della stabilità colloidale.
Stabilità Termica: Tm e Tagg
L’aggregazione a temperatura ambiente è solo una parte della storia della stabilità di un anticorpo o di un ADC. Il comportamento di dispiegamento e aggregazione a temperature elevate fornisce indizi vitali su quanto bene un terapeutico si comporterà, sulla sua producibilità e sulla sua sviluppabilità. Poiché il dispiegamento e l’aggregazione delle proteine sono tipicamente collegati, il monitoraggio simultaneo di entrambi gli eventi nello stesso campione è un must. In un esperimento di rampa termica, Aunty cattura i cambiamenti nella fluorescenza intrinseca di un anticorpo e gli aumenti della quantità di luce che diffonde, nonché i cambiamenti nel suo diametro idrodinamico, per monitorare la stabilità conformazionale e colloidale in ciascuna formulazione affiancata.
La maggior parte dei mAb mostra un distinto spostamento al rosso nella loro emissione di fluorescenza intrinseca durante il dispiegamento, con temperature di fusione (Tm) ai punti di flesso. Herceptin in istidina 10 mM con saccarosio ha mostrato due Tm a 71.4∘C e 82.5∘C e una Tagg a 84∘C (Figura 3A). Gli aumenti nell’intensità SLS di un mAb spesso indicano la formazione di aggregati (per impostazione predefinita, la Tagg in Aunty è definita come la temperatura alla quale l’intensità SLS è il doppio del valore di base). La sostituzione del saccarosio con NaCl come eccipiente ha destabilizzato Herceptin. Questa formulazione ha mostrato una Tm di 68.2∘C e una Tagg di 76.7∘C (Figura 3B).

Figura 3: Media baricentrica della fluorescenza proteica intrinseca (assi y a sinistra, cerchi) e intensità di diffusione della luce statica (assi y a destra, linea continua) di Herceptin in saccarosio (A) o NaCl (B). Diametro idrodinamico (C) degli stessi campioni.
Non solo Herceptin si è dispiegato e aggregato prima in presenza di NaCl, ma gli aggregati erano anche, in media, più grandi che con il saccarosio.
Metodi simili possono essere utilizzati per determinare la stabilità conformazionale e colloidale di un ADC e del suo componente mAb. Utilizzando gli stessi parametri di analisi e applicazione su Aunty, Kadcyla con saccarosio ha mostrato Tm a 66.7 °C e 80.8 °C e una Tagg a 84.1 °C (Figura 4A). Come per Herceptin, la sostituzione del saccarosio con NaCl ha destabilizzato Kadcyla. In istidina 10 mM con 0.9% NaCl, Kadcyla ha avuto una Tm di 63.4∘C e una Tagg di 73.1∘C (Figura 4B).

Figura 4: Media baricentrica della fluorescenza proteica intrinseca (assi y a sinistra, cerchi) e intensità di diffusione della luce statica (assi y a destra, linea continua) di Kadcyla in saccarosio (A) o NaCl (B). Diametro idrodinamico (C) degli stessi campioni.
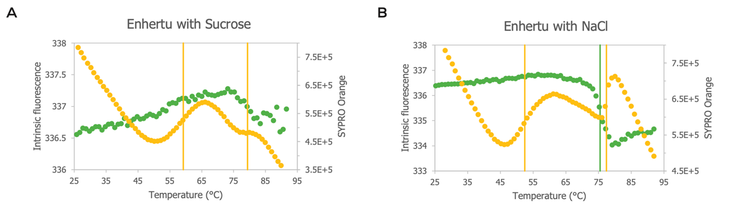
Molti dei farmaci a piccola molecola utilizzati per produrre ADC fluorescono sotto luce ultravioletta nelle stesse lunghezze d’onda dei residui di triptofano e tirosina del mAb. Enhertu è uno di questi ADC. Questa “crosstalk” rende difficile o addirittura impossibile determinare la Tm tramite BCM o analisi a due lunghezze d’onda. La rilevazione della fluorescenza a spettro completo di Aunty e il secondo LED di eccitazione a 470 nm consentono di utilizzare coloranti indicatori fluorescenti, come SYPRO Orange, per identificare la Tm di quei campioni difficili da analizzare.
La fluorescenza intrinseca di Enhertu con saccarosio è cambiata durante il riscaldamento ma non ha potuto essere analizzata per identificare i Tm (Figura 5A). Tuttavia, l’analisi con SYPRO Orange ha mostrato che ha due Tm a 59.2 °C e 79.3 °C. La fluorescenza intrinseca di Enhertu ha subito uno spostamento al blu durante il riscaldamento con NaCl e Aunty è stata in grado di identificare una Tm a 75.5 °C (Figura 5B). Questo era abbastanza vicino a Tm2 con SYPRO Orange, 77.4 °C. Il Tm1 di Enhertu con NaCl era 6.8 °C inferiore rispetto a quello con saccarosio. La rilevazione della fluorescenza a spettro completo di Aunty rende facile progettare e personalizzare saggi per soddisfare le esigenze attuali o future di stabilità delle proteine.

Figura 5: Media baricentrica della fluorescenza proteica intrinseca (assi y a sinistra, cerchi verdi) e fluorescenza SYPRO Orange (assi y a destra, cerchi gialli) di Enhertu in saccarosio (A) o NaCl (B).
Una volta ottenuti i punti di fusione delle proteine e le temperature di aggregazione, è semplice determinare quali formulazioni, mAb o ADC sono più stabili. Scopri tutti i dettagli dello studio nella nota applicativa dedicata!
Vantaggi Commerciali e Scientifici di Aunty
I risultati presentati in questa nota applicativa evidenziano chiaramente i molteplici vantaggi di Aunty, che lo rendono uno strumento indispensabile per l’industria biofarmaceutica:
- Efficienza e Throughput Elevato: La capacità di analizzare fino a 96 formulazioni contemporaneamente, con un consumo di campione minimo (8 μL per pozzetto), riduce drasticamente i tempi e i costi associati agli screening di formulazione. Questo è cruciale per accelerare il processo di sviluppo dei farmaci, portando più rapidamente nuove terapie ai pazienti.
- Dati Multidimensionali da un Singolo Saggio: Aunty fornisce una combinazione unica di dati SLS, DLS e fluorescenza a spettro completo. Questa integrazione permette di ottenere una visione olistica della stabilità (conformazionale e colloidale) da un singolo esperimento, eliminando la necessità di eseguire molteplici saggi su piattaforme diverse. Ciò semplifica il flusso di lavoro, riduce gli errori e accelera il processo decisionale.
- Flessibilità Analitica: La capacità di Aunty di monitorare la fluorescenza intrinseca e di utilizzare coloranti reporter come SYPRO Orange risolve il problema della “crosstalk” per gli ADC con farmaci fluorescenti, rendendo possibile la caratterizzazione della Tm anche per i campioni più complessi. Questa flessibilità garantisce che Aunty possa adattarsi a una vasta gamma di esigenze di stabilità proteica, sia attuali che future.
- Automazione: La compatibilità con le piastre SBS e l’API per il controllo sperimentale rendono Aunty facilmente integrabile nei sistemi di automazione di laboratorio esistenti. Questo non solo aumenta il throughput, ma migliora anche la riproducibilità e riduce la variabilità manuale, elementi critici in un ambiente di produzione farmaceutica.
- Informazioni Azionabili per l’Ottimizzazione della Formulazione: I parametri chiave come kD, B22, Tm e Tagg forniscono metriche quantitative e chiare per valutare la stabilità delle formulazioni. La dimostrazione che una formulazione con istidina e saccarosio ha stabilizzato tutti gli ADC e i mAb testati rispetto a una con NaCl offre un esempio concreto di come Aunty possa guidare l’ottimizzazione della formulazione, identificando gli eccipienti più efficaci.
- Comprensione Approfondita del Comportamento di Aggregazione: Aunty non solo identifica la temperatura di aggregazione, ma fornisce anche informazioni sulla dimensione degli aggregati (tramite DLS), offrendo una comprensione più completa dei meccanismi di instabilità.
